Analise a figura a seguir.

Assinale a opção que apresenta o percurso pós-ordem da árvore acima.
Provas
Questão presente nas seguintes provas
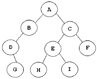
Analise a figura a seguir.

Assinale a opção que apresenta o percurso pós-ordem da árvore acima.