Magna Concursos
130275 Ano: 2016
Disciplina: Matemática
Banca: FUNDATEC
Orgão: Pref. São Leopoldo-RS
Provas:

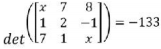
Os valores de x enunciado 130275-1 que satisfazem a equação: enunciado 130275-2 são:

 

Provas

Questão presente nas seguintes provas

Professor - Matemática

45 Questões