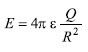
Suponha uma carga elétrica Q. Sendo ε a permissividade elétrica do meio, a intensidade do campo elétrico, a uma distância R dessa carga é dada por
Suponha uma carga elétrica Q. Sendo ε a permissividade elétrica do meio, a intensidade do campo elétrico, a uma distância R dessa carga é dada por