Considere que x = x0 e y = y0 seja a solução do sistema de equações lineares:

Nesse caso, se x0 e y0 são os dois primeiros termos de uma progressão geométrica crescente, então, o terceiro termo dessa progressão será igual a:
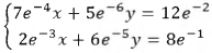
Considere que x = x0 e y = y0 seja a solução do sistema de equações lineares:

Nesse caso, se x0 e y0 são os dois primeiros termos de uma progressão geométrica crescente, então, o terceiro termo dessa progressão será igual a: