A partir de um sistema definido pelas seguintes equações no espaço de estados:

Conclui-se que a função de transferência equivalente do sistema é
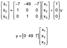
A partir de um sistema definido pelas seguintes equações no espaço de estados:

Conclui-se que a função de transferência equivalente do sistema é