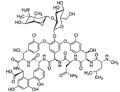
A Vancomicina é um fármaco muito utilizado no tratamento de infecções causadas por bactérias. A Figura abaixo mostra a sua estrutura química.

Considere as seguintes afirmações sobre a Vancomicina:
I - Possui carbono com hibridização sp.
II – É capaz de formar ligações de hidrogênio com a água.
III - É capaz de reagir com o hidróxido de sódio.
IV - Possui os grupos funcionais amida e éster.
Assinale a alternativa que apresenta as afirmações corretas.