Magna Concursos
1146967 Ano: 2018
Disciplina: Matemática
Banca: UECE
Orgão: SEDUC-CE
Provas:

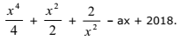
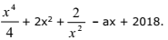
Uma função real de variável real f, cuja derivada (em relação a x) é igual a x3 + 2x + 1/x – a, onde a é uma constante real, pode ser f(x) =

Lnz = logaritmo natural de z

 

Provas

Questão presente nas seguintes provas

Professor - Matemática

80 Questões