Magna Concursos
3513985 Ano: 2025
Disciplina: Matemática
Banca: FACET Concursos
Orgão: Pref. Pedro Velho-RN
Provas:

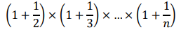
Quantos inteiros n entre 2 e 2024 são tais que o produto

Enunciado 4205180-1

é um número inteiro?

 

Provas

Questão presente nas seguintes provas

Professor - Matemática

40 Questões