Magna Concursos
765941 Ano: 2016
Disciplina: Engenharia Civil
Banca: AOCP
Orgão: Pref. Juiz Fora-MG
Provas:
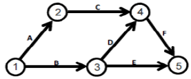
A figura a seguir ilustra uma rede PERT/CPM de determinado projeto, cujas atividades são representadas pelas letras de A a F. Com base nessa figura e nos dados da tabela apresentados em seguida, assinale a alternativa correta.
enunciado 765941-1

Atividade ----- Duração (dias corridos) A --------------------- 10 B --------------------- 20 C --------------------- 10 D --------------------- 10 E --------------------- 20 F --------------------- 10
 

Provas

Questão presente nas seguintes provas

Encarregado I

50 Questões