Magna Concursos
173156 Ano: 2013
Disciplina: Engenharia Química
Banca: CESPE / CEBRASPE
Orgão: CPRM
Considerando que, no escoamento de um fluido por qualquer meio, apareçam perdas associadas ao atrito, julgue os itens seguintes.
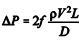
Considere que f seja o fator de atrito; p, a densidade do fluido; V , a velocidade de circulação desse fluido; L , o comprimento; e D , o diâmetro da tubulação. Nessa situação, a perda de carga ΔP, aplicável a qualquer tipo de tubulação, no caso de escoamento turbulento, pode ser calculada pela equação Enunciado 173156-1 .
 

Provas

Questão presente nas seguintes provas

Analista em Geociências - Química

120 Questões