1930165
Ano: 2019
Disciplina: TI - Desenvolvimento de Sistemas
Banca: IDECAN
Orgão: IF Baiano
Disciplina: TI - Desenvolvimento de Sistemas
Banca: IDECAN
Orgão: IF Baiano
Provas:
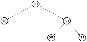
Considere a árvore AVL abaixo:

Assinale a alternativa que contém o percurso em pré-ordem após a inserção de um nó contendo o valor 23.