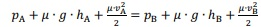
No trecho de tubo ilustrado a seguir, ocorre o escoamento
de um fluido ideal de densidade μ. Nos pontos A e B, as pressões
no fluido são, respectivamente, pA e pB e as velocidades do fluido
são, respectivamente, vA e vB. As alturas entre os pontos A e B e
o plano horizontal α são iguais, respectivamente, a hA e hB.

Tendo como base as informações da situação hipotética precedente e considerando que o valor da aceleração da gravidade é igual a g, julgue o seguinte item.
Para a situação apresentada, a relação entre pressão, velocidade e densidade do fluido é corretamente apresentada a seguir.


Tendo como base as informações da situação hipotética precedente e considerando que o valor da aceleração da gravidade é igual a g, julgue o seguinte item.
Para a situação apresentada, a relação entre pressão, velocidade e densidade do fluido é corretamente apresentada a seguir.