A Linguagem de Modelagem Unificada (UML) é utilizada para a visualização, a especificação, a construção e a documentação de artefatos de software. Nesse contexto, observe a figura abaixo.

Essa figura representa um diagrama UML de
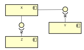
A Linguagem de Modelagem Unificada (UML) é utilizada para a visualização, a especificação, a construção e a documentação de artefatos de software. Nesse contexto, observe a figura abaixo.

Essa figura representa um diagrama UML de