Magna Concursos
Questões
Planos
Entrar
Entrar
Criar Conta
Respondida
736106
Ano:
2008
Disciplina:
Oceanografia
Banca:
CESGRANRIO
Orgão:
Petrobrás
Provas:
Analista Ambiental - Oceanografia
Provas
×
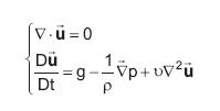
Toda descrição matemática para escoamentos ambientais deve obedecer aos fundamentos básicos da Mecânica dos Fluidos. Em relação às Equações de Navier-Stokes, representadas acima em notação vetorial, assinale a afirmação
INCORRETA
.
A
A resolução destas equações depende de condições de contorno que descrevem as condições particulares nas fronteiras do domínio espacial do problema.
B
Consistem da representação matemática dos princípios da conservação de massa e da conservação da quantidade de movimento.
C
São equações diferenciais que podem ser utilizadas para modelar escoamentos ondulatórios de superfície livre.
D
Consideram um fluido invíscido, no qual os efeitos das tensões viscosas são nulos.
E
Seus termos já incorporam as aproximações da hidrostática e de Boussinesq.
Resolver
Comentários
0
×
Cadernos
×
Flashcards
×
Estatísticas
×
Reportar um erro
×
Provas
Questão presente nas seguintes provas
Analista Ambiental - Oceanografia
70 Questões
Resolver Prova
Publicar
Responder
Qual o problema da questão?
Selecione uma opção
Questão Desatualizada
Questão Repetida
Gabarito Errado
Outros Motivos
Mensagem
Enviar
Acessar
Criar Conta
Acesse sua Conta
Google
Facebook
Esqueci minha senha
Acessar
Ainda não tem conta?
Crie uma
!
Crie uma Conta
Criar Conta
Olá, para continuar, precisamos criar uma conta!
É
rápido
e
grátis
.
Google
Facebook
Concordo com os
Termos de Uso
Criar
Já tem uma conta?
Acesse aqui