Magna Concursos
Questões
Planos
Entrar
Entrar
Criar Conta
Respondida
1008872
Ano:
2016
Disciplina:
Engenharia Elétrica
Banca:
AOCP
Orgão:
UFFS
Provas:
Engenheiro Eletricista
Provas
×
Transformadores e Máquinas Elétricas
Máquinas Síncronas
De acordo com o gráfico dado na figura a seguir, assinale a alternativa correta.
A
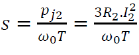
A figura apresenta curva de conjugado com variação da resistência rotórica utilizada em motores de anéis, em que o escorregamento “s” é dado pela relação:
, onde: p
j2
são as perdas rotóricas, é a rotação síncrona, T é o torque do rotor, R
2
é a resistência rotórica e I
2
é a corrente rotórica.
B
A figura apresenta as curvas de escorregamento de motores de polos salientes e relutância, respectivamente.
C
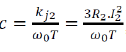
A figura apresenta curva de escorregamento com variação da resistência rotórica utilizada em motores universais, em que o conjugado “c” é dado pela relação:
, onde: k
j2
são as perdas rotóricas exponenciais,
é a rotação síncrona, T é o torque do rotor, R
2
é a resistência rotórica e I 2 é a corrente rotórica.
D
A figura mostra a diferença entre o conjugado de partida e o conjugado resistente de um motor universal.
E
A figura apresenta o comportamento do conjugado de motores assíncronos trifásicos com duas velocidades, denominados motores de polos sombreados, em que a variação da resistência de campo determina o comportamento do torque induzido.
Resolver
Comentários
0
×
Cadernos
×
Flashcards
×
Estatísticas
×
Reportar um erro
×
Provas
Questão presente nas seguintes provas
Engenheiro Eletricista
50 Questões
Resolver Prova
Publicar
Responder
Qual o problema da questão?
Selecione uma opção
Questão Desatualizada
Questão Repetida
Gabarito Errado
Outros Motivos
Mensagem
Enviar
Acessar
Criar Conta
Acesse sua Conta
Google
Facebook
Esqueci minha senha
Acessar
Ainda não tem conta?
Crie uma
!
Crie uma Conta
Criar Conta
Olá, para continuar, precisamos criar uma conta!
É
rápido
e
grátis
.
Google
Facebook
Concordo com os
Termos de Uso
Criar
Já tem uma conta?
Acesse aqui