Magna Concursos

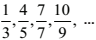
Sabe-se que , enunciado 402568-1 é uma sequencia lógica ilimitada. Desse modo, a soma entre os números da fração (numerador e denominador) que representa o 100° termo da sequencia representa a senha de acesso aos dados de um processo em andamento. Portanto, a senha de acesso deve ser o número:

 

Provas

Questão presente nas seguintes provas

Técnico Judiciário - Área Administrativa

50 Questões

Técnico Judiciário - Área Judiciária

50 Questões

Técnico Judiciário - TI/Suporte

50 Questões