1408410
Ano: 2016
Disciplina: TI - Gestão e Governança de TI
Banca: DIRENS Aeronáutica
Orgão: EEAr
Disciplina: TI - Gestão e Governança de TI
Banca: DIRENS Aeronáutica
Orgão: EEAr
Provas:
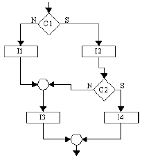
Informe se é falso (F) ou verdadeiro (V) o que se afirma sobre o diagrama de blocos abaixo. A seguir, indique a opção com a sequência correta.

Considere:
- C1 e C2 são condições.
- I1, I2, I3 e I4 são instruções que não afetam C1 e C2.
( ) Quando C1 é verdadeira e C2 é falsa, I3 executa.
( ) Quando C1 é falsa e C2 é verdadeira, I4 executa.
( ) I2 executa independente de C1 e C2.
( ) Quando C1 é verdadeira e C2 é falsa, I1 executa.