Magna Concursos
1665913 Ano: 2010
Disciplina: TI - Desenvolvimento de Sistemas
Banca: UFSM
Orgão: UFSM
Provas:

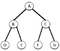
Considere a seguinte árvore binária:

Enunciado 1665913-1

Considerando um percurso em pré-ordem, da esquerda para direita, a saída gerada é

 

Provas

Questão presente nas seguintes provas

Técnico de TI

40 Questões