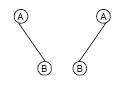
Dadas as duas figuras abaixo:
são duas árvores diferentes.
são duas árvores iguais.
são uma única árvore.
não possuem sub-árvores.
não representam árvores.
Olá, para continuar, precisamos criar uma conta! É rápido e grátis.