Magna Concursos
680866 Ano: 2015
Disciplina: Engenharia Civil
Banca: UFES
Orgão: UFES
Provas:
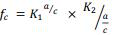
Duff Abrams descobriu que existe uma correlação entre relação água/cimento e resistência do concreto, popularmente conhecida como Lei de Abrams. Considerando que K1 e K2 são constantes empíricas, a/c é a relação água/cimento e fc é a resistência do concreto, identifique a Lei de Abrams:
 

Provas

Questão presente nas seguintes provas