Magna Concursos
748398 Ano: 2015
Disciplina: Química
Banca: FUVEST
Orgão: USP
Provas:
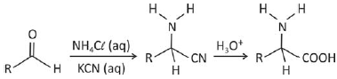
Um aldeído pode ser transformado em um aminoácido pela sequência de reações:
enunciado 2018553-1
O aminoácido N-metil-fenilalanina pode ser obtido pela mesma sequência reacional, empregando-se, em lugar do cloreto de amônio (NH 4C !$ \ell !$), o reagente CH 3NH 3C !$ \ell !$.
enunciado 2018553-2
Nessa transformação, o aldeído que deve ser empregado é
 

Provas

Questão presente nas seguintes provas