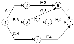
Ao planejar um serviço de engenharia, o cronograma de redes permite verificar o caminho crítico. Na figura, as atividades estão representadas por letras, seguidas pelo seu tempo de execução, em dias.

O tempo de conclusão desse serviço, em dias, é:
Ao planejar um serviço de engenharia, o cronograma de redes permite verificar o caminho crítico. Na figura, as atividades estão representadas por letras, seguidas pelo seu tempo de execução, em dias.

O tempo de conclusão desse serviço, em dias, é: