Magna Concursos
305628 Ano: 2009
Disciplina: Matemática
Banca: FAEPESUL
Orgão: TJ-PR
Provas:

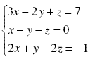
Classifique o sistema enunciado 305628-1

 

Provas

Questão presente nas seguintes provas

Técnico Judiciário

80 Questões