Em testes de comissionamento de sistemas de controle em operação
é comum aplicar sinal do tipo degrau, uma vez que tal resposta
contém características do desempenho transitório do sistema.
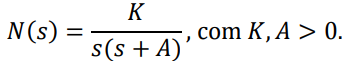
Considere que determinado sistema de controle é representado pela sua função de transferência de malha aberta N(s), dada por

Inicialmente, o valor do ganho do controlador K foi ajustado de forma a tornar o sistema em malha fechada criticamente amortecido.
Caso o ganho K seja ligeiramente aumentado, é esperado que o sistema tenha
Considere que determinado sistema de controle é representado pela sua função de transferência de malha aberta N(s), dada por

Inicialmente, o valor do ganho do controlador K foi ajustado de forma a tornar o sistema em malha fechada criticamente amortecido.
Caso o ganho K seja ligeiramente aumentado, é esperado que o sistema tenha
Provas
Questão presente nas seguintes provas
Tecnologista Jr - AOCS
45 Questões
Tecnologista Jr - Desenvolvimento de Sistemas
45 Questões
Tecnologista Jr - Satélites/Elétrica
45 Questões
Tecnologista Jr - Satélites/Missões Espaciais
45 Questões