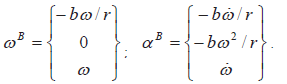
O disco circular B de raio r rola sem deslizar sobre o disco C, fixo, devido a uma velocidade angular
em torno do eixo vertical z.

A velocidade angular e a aceleração angular do disco B, são, respectivamente:
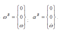
O disco circular B de raio r rola sem deslizar sobre o disco C, fixo, devido a uma velocidade angular
em torno do eixo vertical z.

A velocidade angular e a aceleração angular do disco B, são, respectivamente: