
Considere que uma onda eletromagnética plana e linearmente polarizada, que se propaga na direção indicada pelo vetor ki paralelo ao plano xy, conforme ilustrado na figura acima, incida na interface entre dois meios lineares e isotrópicos caracterizados pelos índices de refração n1 e n2.
Com base nessas informações e designando por \(\theta\), \(a\) e \(\beta\) os ângulos entre a normal à interface e os sentidos dos vetores de onda dos feixes incidente (ki), refletido (kr) e refratado (kt), respectivamente, julgue o item subsequente.
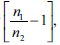
Na situação em que n1 > n2, transmissão ocorrerá somente se o ângulo de incidência for inferior ao ângulo crítico, cuja expressão é \(\theta\)crit = sen-1
em que a notação sen-1(x) representa o ângulo cujo seno é igual a x.