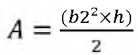
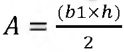
Analise o triângulo abaixo. Em seguida, assinale a alternativa que representa corretamente a área do triângulo retângulo ACD:

Analise o triângulo abaixo. Em seguida, assinale a alternativa que representa corretamente a área do triângulo retângulo ACD:
