Magna Concursos
1490022 Ano: 2003
Disciplina: Matemática
Banca: FEC
Orgão: Pref. Niterói-RJ

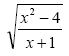
O domínio da função f(x) =Enunciado 1490022-1 , com valores reais, é o conjunto:

 

Provas

Questão presente nas seguintes provas

Técnico - Manutenção de Computadores

40 Questões