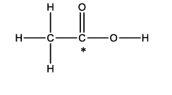
Observe a fórmula estrutural plana da molécula do ácido acético.
Nessa estrutura, há:
2 átomos de carbono com hibridização sp
2 átomos de carbono com hibridização sp3
1 átomo de carbono com hibridização sp2
2 átomos de carbono com hibridização sp2
1 átomo de carbono com hidridização sp e outro com hidridização sp3
Olá, para continuar, precisamos criar uma conta! É rápido e grátis.