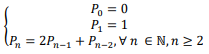
Os números de Pell são definidos pela relação de recorrência seguinte.

Assinale a alternativa que apresenta o P8.
Provas
Questão presente nas seguintes provas
Assistente Administrativo
50 Questões
Assistente Contábil Financeiro
50 Questões
Assistente de TI
50 Questões