Magna Concursos
405246 Ano: 2017
Disciplina: Matemática
Banca: IFB
Orgão: IFB
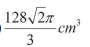
Uma empresa de sorvete produzirá um sorvete em um casquinha cônica. O cone no sorvete será feito a partir de um setor de 12 cm de raio e ângulo central de π/2. Para calibrar a máquina que encherá tal casquinha é preciso calcular o volume de sorvete usado para preencher esse cone. Informe qual o volume dessa casquinha.
 

Provas

Questão presente nas seguintes provas

Professor PEBTT - Matemática

50 Questões