Em um estudo de geometria aplicada ao
mapeamento de trajetórias robóticas, dois arcos
pertencentes a circunferências concêntricas de centro
O são utilizados para modelar um corredor curvo. Sobre
a circunferência interna situam-se os pontos A e D,
enquanto B e C pertencem à circunferência externa. A
disposição dos pontos obedece à orientação radial
indicada no esquema fornecido: o ponto A localiza-se
entre os raios que passam por O e B, e o ponto D encontra-se entre os raios que passam por O e C.
As exigências do modelo geométrico são as seguintes:
• o arco maior
sobre a circunferência menor,
possui comprimento exatamente 2π;
• o arco menor
, sobre a circunferência maior,
também possui comprimento 2π;
• cada um dos segmentos retos AB e CD tem igualmente comprimento 2π.
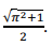
Com base nessas condições de simetria e proporcionalidade entre arcos e segmentos, determine o valor do raio menor, isto é, a distância OA.
As exigências do modelo geométrico são as seguintes:
• o arco maior
• o arco menor
• cada um dos segmentos retos AB e CD tem igualmente comprimento 2π.
Com base nessas condições de simetria e proporcionalidade entre arcos e segmentos, determine o valor do raio menor, isto é, a distância OA.
Provas
Questão presente nas seguintes provas
Agente Administrativo Escolar
30 Questões
Agente da Vigilância Sanitária
30 Questões
Atendente de Farmácia
30 Questões
Auxiliar Administrativo
30 Questões
Fiscal de Obras
30 Questões
Rádio Operador
30 Questões
Secretário Escolar
30 Questões
Técnico Administrativo
30 Questões
Técnico Administrativo Plantonista
30 Questões
Telefonista Auxiliar de Regulação Médica
30 Questões