Magna Concursos
181355 Ano: 2018
Disciplina: Matemática
Banca: IF-RS
Orgão: IF-RS

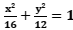
Dada a equação enunciado 181355-1 que representa uma curva no plano cartesiano, podemos afirmar que esta curva e as equações das retas tangentes a esta curva nos pontos de abscissa x = 2 são, respectivamente:

 

Provas

Questão presente nas seguintes provas

Professor PEBTT - Matemática

40 Questões