Magna Concursos
203629 Ano: 2018
Disciplina: Engenharia Civil
Banca: UFPR
Orgão: UFPR
Provas:

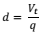
De acordo como a NBR 8160, o tempo de detenção do esgoto na caixa coletora pode ser determinado a partir da seguinte equação:


Enunciado 203629-1


em que: d é o tempo de detenção do esgoto na caixa coletora (em minutos), Vt é o volume total da caixa coletora (em metros cúbicos) e q é a vazão média de esgoto afluente (em metros cúbicos por minuto).


O tempo de detenção na caixa não deve ultrapassar 30 minutos, para que não haja comprometimento das condições de aerobiose do esgoto. Sendo assim, considerando uma caixa coletora de 1 m 2 de área e 1,20 de profundidade, que tem 0,03 m 3 /min de vazão média de esgoto afluente, assinale a alternativa que apresenta o tempo de detenção do esgoto nessa caixa e se ele atende ou não à NBR 8160.

 

Provas

Questão presente nas seguintes provas

Engenheiro Civil

40 Questões