- Química OrgânicaFunções Oxigenadas: Cetona, Aldeído, Éter, Éster, Ácido Carboxílico etc.
- Química OrgânicaGlicídios, Lipídios, Aminoácidos e Proteínas.
- Química OrgânicaHidrocarbonetos
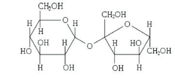
Considerando a estrutura sacarose representada a
seguir, pode-se afirmar que a sacarose é um(a)

