Magna Concursos
Questões
Planos
Entrar
Entrar
Criar Conta
Respondida
912719
Ano:
2015
Disciplina:
Biologia
Banca:
FUNIVERSA
Orgão:
PC-DF
Provas:
Papiloscopista
Provas
×
Genética
Aspectos Básicos e Leis de Mendel
Genética
Hereditariedade
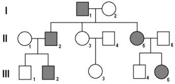
A figura acima ilustra um heredograma de uma família com indivíduos afetados (símbolos escuros) e não afetados (símbolos claros). O padrão de herança mendeliana apresentado nesse heredograma é característico de herança
A
autossômica recessiva.
B
autossômica ligada ao y.
C
dominante ligada ao x.
D
autossômica dominante.
E
recessiva ligada ao x.
Resolver
Comentários
0
×
Cadernos
×
Flashcards
×
Estatísticas
×
Reportar um erro
×
Provas
Questão presente nas seguintes provas
Papiloscopista
80 Questões
Resolver Prova
Publicar
Responder
Qual o problema da questão?
Selecione uma opção
Questão Desatualizada
Questão Repetida
Gabarito Errado
Outros Motivos
Mensagem
Enviar
Acessar
Criar Conta
Acesse sua Conta
Google
Facebook
Esqueci minha senha
Acessar
Ainda não tem conta?
Crie uma
!
Crie uma Conta
Criar Conta
Olá, para continuar, precisamos criar uma conta!
É
rápido
e
grátis
.
Google
Facebook
Concordo com os
Termos de Uso
Criar
Já tem uma conta?
Acesse aqui