Magna Concursos
809297 Ano: 2004
Disciplina: Engenharia Mecânica
Banca: CESPE / CEBRASPE
Orgão: PF

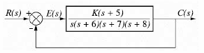
O esquema abaixo representa um sistema de controle.

Enunciado 809297-1

Com base no esquema acima, julgue os itens seguintes.

O modelo do sistema apresentado no diagrama de blocos é não-linear.

 

Provas

Questão presente nas seguintes provas

Perito Criminal - Engenharia Mecânica

120 Questões