Magna Concursos
3238634 Ano: 2012
Disciplina: Engenharia Química
Banca: FUNDEP
Orgão: MPE-MG
Uma reação homogênea é classificada como autocatalítica quando o produto da própria reação atua como catalisador. Nesse tipo de reação, a taxa inicial de consumo dos reagentes é baixa, porque uma pequena quantidade de produto está presente no meio reacional; a taxa aumenta continuamente até um valor máximo à medida que o produto vai sendo formado, para, depois, decrescer significativamente à medida que os reagentes são consumidos.
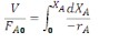
Dados: Equação de projeto do reator de mistura Enunciado 3600874-1
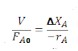
Equação de projeto do reator pistonado Enunciado 3600874-2

Nessas equações, V é o volume do reator, FA0 é a vazão molar inicial do reagente A, -rA é a taxa de consumo do reagente A com base no volume reacional e XA é a conversão do reagente A em produtos.

Com base nessa informação e nas equações de projeto dos reatores de mistura e pistonado, assinale a alternativa INCORRETA.
 

Provas

Questão presente nas seguintes provas