Magna Concursos
630016 Ano: 2010
Disciplina: Economia
Banca: FGV
Orgão: SEFAZ-RJ
Provas:
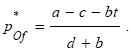
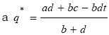
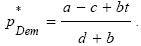
Suponha as seguintes curvas de oferta e demanda por um produto, respectivamente, enunciado 630016-1 onde a, b, c, d > 0 são os parâmetros destas curvas. A respeito do equilíbrio antes e depois da introdução de um imposto sobre quantidades, assinale a afirmativa incorreta.
 

Provas

Questão presente nas seguintes provas

Fiscal de Rendas

200 Questões