Considere a árvore AVL abaixo.

Marque o item que contém o percurso em pré-ordem após a inserção de um nó contendo o valor 100.
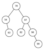
Considere a árvore AVL abaixo.

Marque o item que contém o percurso em pré-ordem após a inserção de um nó contendo o valor 100.