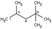
Sabendo que na estrutura do composto 2,2,4 trimetilpentano representada abaixo, há carbonos que podem ser classificados como primários, secundários, terciários e quaternários, assinale a alternativa que apresenta a classificação CORRETA dos carbonos I, II, III e IV, respectivamente.
