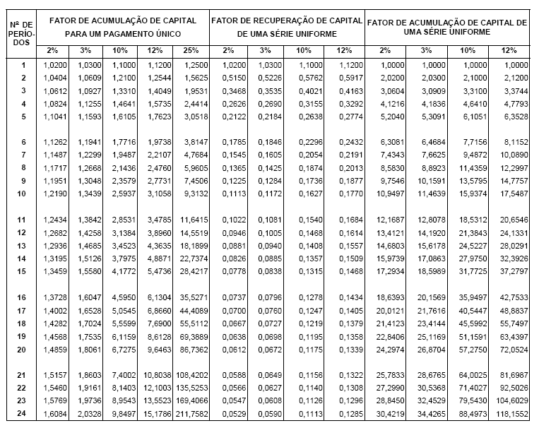
Para responder às questões de números 34 a 40, considere a tabela anexada abaixo.
.
O esquema abaixo representa o fluxo de caixa de um investimento no período de 3 anos, valores em reais:

Sabendo-se que a taxa interna de retorno (TIR) é de 10% ao ano, o valor do desembolso inicial (D) é de
Provas
Questão presente nas seguintes provas
Analista da CVM - Mercado de Capitais
120 Questões
Inspetor da CVM
120 Questões