
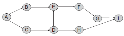
Um diagrama de rede é uma importante ferramenta de apoio para o processo de definição de cronograma de um projeto, ajudando, inclusive, a determinar aspectos fundamentais para o controle do projeto, tal como o caminho crítico do mesmo. Qual das seguintes afirmações reflete um entendimento correto obtido do diagrama de rede acima?