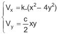
Um campo de velocidade bidimensional é dado por:

Qual o valor da razão entre as constantes k e c (k/c) para que o escoamento satisfaça a equação da continuidade para escoamento incompressível?

Qual o valor da razão entre as constantes k e c (k/c) para que o escoamento satisfaça a equação da continuidade para escoamento incompressível?