Magna Concursos
3284879 Ano: 2024
Disciplina: Matemática
Banca: EPL
Orgão: FHSTE-RS
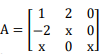
O determinante da matriz Enunciado 3509359-1 é negativo quando x está no intervalo {x ∈ ℝ: m < x < n}. Nessa situação, qual o valor de n − m?
 

Provas

Questão presente nas seguintes provas

Analista de TI

40 Questões

Contador

40 Questões

Engenheiro de Segurança do Trabalho

40 Questões

Farmacêutico

40 Questões

Fisioterapeuta - Terapia Intensiva

40 Questões

Fonoaudiólogo

40 Questões

Nutricionista

40 Questões

Psicólogo

40 Questões