Magna Concursos
1616569 Ano: 2007
Disciplina: Raciocínio Lógico
Banca: VUNESP
Orgão: SEDUC-SP
Provas:

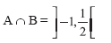
Dados os conjuntos pode-se afirmar que

enunciado 1616569-1

 

Provas

Questão presente nas seguintes provas

Professor - Matemática

80 Questões