- Química CinéticaRepresentação das Transformações Químicas
- Química InorgânicaSoluções e Substâncias InorgânicasSoluções: características, tipos de concentração, diluição, mistura, titulação e soluções coloidais
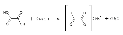
Considerando-se a reação de padronização do hidróxido de sódio com ácido oxálico na presença de fenolftaleína, assinalar a alternativa CORRETA:

Provas
Questão presente nas seguintes provas