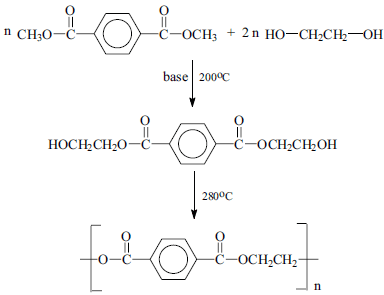
O poli(tereftalato de etileno) - PET - pode ser obtido pela reação do tereftalato de dimetila com etilenoglicol, como mostrado abaixo.

A respeito desse processo foram feitas as seguintes afirmativas:
I - é baseado em reações de transesterificação e o PET obtido também pode ser despolimerizado via transesterificação;
II - a reação de polimerização se dá por crescimento em etapas, o que permite controlar o comprimento que se deseja para a cadeia;
III - as reações de condensação se dão com eliminação de metanol e água.
Está(ão) correta(s) apenas a(s) afirmativa(s):