Magna Concursos
Questões
Planos
Entrar
Entrar
Criar Conta
Respondida
714475
Ano:
2013
Disciplina:
Engenharia Eletrônica
Banca:
CESPE / CEBRASPE
Orgão:
TELEBRAS
Provas:
Especialista da Telebrás - Engenharia Elétrica ou Eletrônica
Provas
×
Análise de Sistemas Lineares
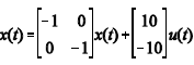
Assumindo-se
K
= 1, uma possível representação do sistema na forma de variáveis de estado é a descrita pelo sistema matricial abaixo, em que
x(t)
representa os estados;
u(t)
o sinal de entrada; e
y(t)
o sinal de saída.
y(t) = [-1 1] x(t)
C
Certo
E
Errado
Resolver
Comentários
0
×
Cadernos
×
Flashcards
×
Estatísticas
×
Reportar um erro
×
Provas
Questão presente nas seguintes provas
Especialista da Telebrás - Engenharia Elétrica ou Eletrônica
120 Questões
Resolver Prova
Publicar
Responder
Qual o problema da questão?
Selecione uma opção
Questão Desatualizada
Questão Repetida
Gabarito Errado
Outros Motivos
Mensagem
Enviar
Acessar
Criar Conta
Acesse sua Conta
Google
Facebook
Esqueci minha senha
Acessar
Ainda não tem conta?
Crie uma
!
Crie uma Conta
Criar Conta
Olá, para continuar, precisamos criar uma conta!
É
rápido
e
grátis
.
Google
Facebook
Concordo com os
Termos de Uso
Criar
Já tem uma conta?
Acesse aqui