1746868
Ano: 2004
Disciplina: TI - Desenvolvimento de Sistemas
Banca: CESPE / CEBRASPE
Orgão: Adepará
Disciplina: TI - Desenvolvimento de Sistemas
Banca: CESPE / CEBRASPE
Orgão: Adepará
Provas:
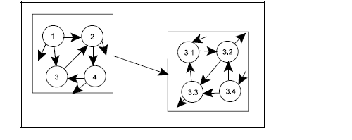
O fragmento de DFD mostrado abaixo está equilibrado.

Provas
Questão presente nas seguintes provas